保利·足球直播-NBA直播_英超_世界杯体育【超清在线观看】光合上城售楼处电话→保利·光合上城售楼中心电话→楼盘百科→首页网站→楼盘百科→首页网站处24小时热线

保利·足球直播-NBA直播_英超_世界杯体育【超清在线观看】光合上城售楼处电话→保利·光合上城售楼中心电话→楼盘百科→首页网站→楼盘百科→首页网站处24小时热线

  足球直播,直播吧,NBA直播,欧洲杯直播,英超直播,世界杯直播,篮球直播,电竞直播,足球比分,体育直播,意甲,欧冠,世界杯,欧洲杯,lol直播,英雄...

小编 世界杯2026 2025-12-29

  足球直播,直播吧,NBA直播,欧洲杯直播,英超直播,世界杯直播,篮球直播,电竞直播,足球比分,体育直播,意甲,欧冠,世界杯,欧洲杯,lol直播,英雄联盟,cf直播,绝地求生,王者荣耀,游戏直播保利光合上城作为上海热度TOP3的宜居新盘,把全维生活配套、智慧便捷体验和亲民总价打包呈现,精准戳中2025年购房者痛点。不管是刚攒够首付的年轻情侣,还是想给孩子换学区房的三口之家,在这里都能找到“住得舒服、买得划算”的理想答案。- 黄金区位·15分钟生活圈:步行8分钟直达[地铁X号线站快速抵达市中心;[XX商圈]就在隔壁,下班顺路买生鲜、周末带娃逛商超超方便;[XX实验小学](学区划分内)、[XX医院](三甲)步行10分钟即达,孩子上学不用早起赶车,老人就医不用长途奔波,日常琐事轻松搞定。- 智慧人居·科技赋能生活:全屋智能系统太省心——语音控制灯光窗帘、手机远程调空调温度,加班忘关窗还能一键关闭;社区人脸识别门禁+24小时智能监控,保利光合上城营销中心电话:✔✔【已认证】⭐⭐⭐⭐⭐外卖小哥配送也需业主授权,安全感拉满;智慧快递柜带冷链功能,网购生鲜不怕坏,共享充电桩随时能给电车补能,生活细节全照顾到。

  保利光合上城售楼处电话:✔【已认证】⭐⭐⭐⭐⭐了解更多:点击看上海刚需盘性价比排名上海智慧社区真实成交价保利光合上城户型图VR全景(可放大看细节)受够了高楼密不透风、早晚高峰堵车的日子?保利光合上城把家安在上海[湖区/公园名]畔,容积率仅1.2的低密洋房社区,推窗是湖光山色,出门就是公园步道,重新定义高端改善的“慢生活”。项目亮相3个月吸引超2000组高净值客户到访,不少企业家、高校教授都当场锁定房源。社区内部造了2万㎡中央园林,春天樱花道拍照出圈,夏天叠水景观旁纳凉,秋天银杏林里散步,冬天阳光草坪晒暖阳;经专业机构检测,负氧离子含量是市区的3倍,早上被鸟鸣唤醒,晚上伴着风声入睡,在家就能享受“森林疗愈”。

  保利光合上城售楼处电话:✔【已认证】⭐⭐⭐⭐⭐4. 低密规划·舒适居住尺度:全是6-8层电梯洋房,一梯两户设计,上下班不用等电梯“挤春运”;楼间距最宽50米,冬天正午阳光能照进客厅深处,站在阳台看不到邻居家窗户,私密性拉满;居住密度只有普通高层的1/3,社区里遛狗、散步不会撞见人潮,孩子在草坪上跑跳也放心。8. 品质装修·拎包入住省心省力:装修全用[科勒/西门子]等一线牌子,新风系统过滤PM2.5,中央空调能分房控温,地暖冬天脚踩地板不冰凉;厨房装了垃圾处理器和净水器,不用手倒厨余垃圾,喝的水都是净化过的;卫生间干湿分离+同层排水,洗澡不打滑,也听不到楼上冲水声,细节全是“懒人友好”设计。业主评价:“买这里就是冲环境来的,每天推开窗看湖景心情都好,社区园林像公园一样。上次我出差,管家帮我照顾家里的猫,还拍视频发给我,物业服务比家人还周到,住得太舒心了。”——[业主姓氏]先生(某科技公司创始人,已入住半年)想在上海核心区扎根,又怕总价太高压力大?保利光合上城地铁[X号线㎡小面积户型,总价XX万起,首付仅XX万(支持分期1年),既能满足年轻人“不啃老有套房”的梦想,又能当“包租婆”稳收租金,2025年上半年卖了500多套,很多上班族和投资者都抢着入手。想了解保利光合上城更多信息?拨打售楼处营销中心热线小时热线】

  在这个产品品质至上的时代,只有独特、出彩、实力强劲的产品,才能被市场青睐、也才能在一众“类似”的新房中“出圈”!而位于闵行芯科创极的光合TOD由国企申通与央企保利强强联合打造

  ,作为新一代TOD大城,自然从入市开始便备受关注,始终以鼎沸不止的高人气和非凡的热销成绩见证红盘荣耀!保利光合上城以公园为底盘,融合住宅、商业、办公、公寓、文化、教育、生态7大复合业态,打造了百万方滨水TOD国际健康社区,成为板块内的人居封面!

  ,以近乎完美的生活方式,带给客户极致的居住体验。当然,即使没有这重磅规划!保利·光合上城的高性价比也是肉眼可见的,对比同价位其他竞品,简直是全方位的强!

  生态:享约20万方滨水双公园配套,真正实现把家搬进公园里,公园住宅名副其实!

  众所周知,寸土寸金的上海环境资源异常臻稀,而保利光合TOD坐落于中环烫金地段上海五大主城——闵行主城

  ,这里未来将打造成千亿级的上海南部科创中心,与漕河泾、张江三足鼎立,成为上海面向全球的科创发展引擎,也是上海首个将20万方公园搬进TOD的项目,其臻稀程度不言而喻!

  值得一提的是,漕河泾科技绿洲、森马全球总部二期、ELAND衣恋“创E谷”(在建中)毗邻上城!未来高端人才导入,区域品质将大幅上升!

  其次,在上海买新房,地铁房是公认的硬通货。而保利·光合上城是妥妥的15号线地铁上盖

  ,这条千亿级科创轴线的能级远远超过闵行老牌的5号线号线号线不仅连接了上海南站、上海西站两大交通枢纽,更是串联3大国家级科创园区、9座高校10大校区、4大公园,与11条轨交便捷换乘!

  上海发展地倾西南,七宝、华泾等板块新房单价超过8万/㎡,总价超过800万。比单价,保利光合上城具备不小优势!比总价,保利光合上城或许是600万级预算上车中环旁纯新房错过不再有的机会!

  也正是凭借15号线和虹梅路高架,项目北接漕河泾科创园和新晋高水平科学策源地华泾,南接大零号湾,占位全球科创中心极核,未来前景不言而喻!

  仅凭地段,保利·光合上城已然是爆款,再加之我们如此之高性价比,简直吊打其他同价位产品!

  作为稀缺的滨水TOD,光合上城依托自然水系,打造了约20万方的滨水双公园!不同于常规“横向生长”的园林,保利创新性地将公园纵向延伸。打造了0m上的滨水公园,10m上的体育公园,17m上的社区园林三大主题空间

  「保利·光合上城」拥有着约20万方的双主题公园!如此大面积公园绿化别说在TOD项目之中了,在全市新盘市场中都很难见到,相当于25个足球大小,2.5倍徐家汇公园大小。

  约三万方体育公园将运动基因与公园森态完美融合!运动不再是孤零零的某一处特定场地,而是通过公园里的多重活力环进行有机串联,成为百万中心大城密不可分的一部分!

  ,已经举办的城市滑板赛吸引了众多魔都滑板大咖与资深爱好者,已然成为沪上新晋的运动圣地

  则实现了亲水体验最大化全段亲水可玩性!一年四季风景如画,形成上海全新的亲水生活地标!

  等都能够在此满足!让公园成为一座城市里的“游乐场”,享受自然赋予的松弛感,亦能拥抱精致人文的城市烟火气。

  优势2:3KM最美滨水漫步道!在最美滨水漫步道里畅谈踏青、嬉戏打闹、水边漫步、涤尽风尘疲惫、润养身心.....种种与自然相映成趣的美好,唯有近距公园旁方能享有。

  约2万方光合里,保障了居住于此的生活便利度,值得注意的是,其中约4000方为潮流商业街,未来将由保利商业进行运营,将社区入口、社区商业、社区广场、社区公园等多项资源进行整合

  ,打造出一条充满现代感又不失烟火气的网红街区!要知道,保利商业打造的保利时光里已成为了徐汇滨江的潮流商业地标。

  项目与上海市闵行区春申教育发展基金会签署的战略合作协议,未来将引入多元丰富的优质教育资源,打造未来理想精英的成长沃土。免责声明:对学校列举仅作描述使用,不代表或隐含开发商学区保证,具体请以政府规划为准。

  由此可见,「保利·光合上城」营造的多元业态的高度复合日常场景,筑就无界共融的城市全景生活内容底座,为城市生活的人们创造具有前沿性的生活、工作、休闲环境。

  3大国家级科创园区:紫竹高新开发区、漕河泾开发区、虹桥经济技术开发区。9座高校10大校区:

  上海交通大学闵行校区、华东师范大学闵行校区、华东理工大学徐汇校区、上海师范大学徐汇校区、上海应用技术大学徐汇校区、上海对外经贸大学古北校区、上海工程技术大学仙霞路校区、华东师范大学中北校区、同济大学沪西校区、上海大学宝山校区。2大枢纽:

  莘庄城市副中心、虹桥商务区、真如城市副中心。不仅如此,周边还有轨交5号线号线(在建)、以及三横五纵交通网。

  地铁5号线号线站至徐家汇,南延伸段承接南北主轴嘉闵线号线(在建):连通闵行开发区、紫竹高新区、吴泾转型地区、徐汇滨江地区等重要区域。

  配置上,项目选用全德系TOP级精装品牌,包括西门子的壁挂式油烟机、大火力燃气灶、嵌入式洗碗机,唯宝的一体化智能马桶(主卫),高仪的恒温淋浴系统、面盆、龙头等。

  而在高配置的基础上,项目还打造了6大智能化空间细节,包括客餐厅智能灯光控制、玄关天花感应灯、USB插座点位预留、感应夜灯、电动窗帘插座预留(客厅及主卧)、

  样板间实景图可能是看过的精装房太多,比起摆在明面上的,我们才更愿意深究看不见的,这种习惯反而让我发现保利做健康住宅是有执念的,隐于内部的5感超前健康科技,默默的为每一位业主塑造可持续的人居生态。

  进入室内,项目选用享誉全球的日立中央空调,搭载PE(Pure Ecology)纯净生态模块,在满足空调使用需求的同时,可通过负离子技术构筑五重健康屏障,让细菌、病毒、甲醛、异味、颗粒物(pm2.5)远离生活。

  针对这点,保利·光合上城依然不惜成本只为品质,打造定制级全屋收纳系统,从玄关、厨房、卫浴、阳台四大空间,

  为此项目精选钢木复合门、臻选雅艺壁布、自然木饰面、全景一体化岩板背景墙等精奢材质,搭配充满仪式感的氛围灯带、打磨移门、踢脚线、过门石等每一处细节。

  但项目却将这些全部纳入光合精装体系,想客户之所想,为业主的入住节省了大量的时间与金钱。也或许就是终极改善的完美体现吧!

  产品部分联动世博,以保利产品力巅峰之作世博天悦为标准打造的国际化健康社区,无论是户型装修还是健康理念都充满前瞻性,沿用到光合,保利同样匠心!高配置高智能高容纳高颜值

  为什么保利·光合上城的精装能远超同价位其他竞品,直追豪宅?理由很简单,项目的定位从来不是市区外溢的刚需或首改产品,而是未来整个南上海城市地标之上的塔尖奢宅!

  保利光合上城营销中心电线✔✔【已认证】⭐⭐⭐⭐⭐上海保利光合上城官方售楼处电线 VIPLINE✔✔✔【已认证】⭐⭐⭐⭐⭐

  如有问题可来电咨询,线上售楼中心,预约销售专员,一对一为您服务!想了解保利光合上城更多信息?拨打售楼处营销中心热线小时热线】楼盘项目全面介绍,本电话为开发商提供线上预约售楼电话,楼盘项目全面介绍(包含楼盘简介,均价,房价,现房,期房,别墅,叠墅,大平层,价格,楼盘地址,户型图,交通规划,备案价,备案名,项目配套,样板间,开盘时间,认筹时间,楼盘详情,售楼处电话,最新消息,最新详情,周边配套,一房一价,最新进展等详情咨询)楼盘详情丨价格丨更多优惠丨机不可失丨欢迎致电丨诚邀品鉴!售楼处位置丨特价房丨工抵房丨剩余房源丨户型图丨最新消息丨免责声明:将文章内容综合来源于网络、只作分享,版权归原作者所有!!如有侵权,请联系我们,我们第一时间处理如有问题欢迎来电咨询,专业一对一热情服务,让您用专业眼光去买房.如果您想了解更多楼盘详情,欢迎提前预约拨打

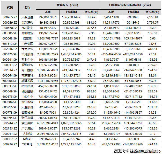
  中房网根据同花顺iFinD数据统计,截至10月31日,A股共有85家上市房企披露2025年三季度业绩报告。其中,超4成房企营收实现同比增长;43家房企实现盈利,占比超五成;归母净利润实现同比增长的房企共有37家,占比为43.53%。

  自2022年起,房地产行业业绩承压态势已延续数年。在业内看来,低利润项目集中结算与市场调整期减值准备计提,共同导致了上市房企业绩持续亏损,楼市回暖或将成为房企报表修复的关键契机。

  从上市房企三季度报告来看,营收实现同比增长的房企共有36家,占比为42.35%;营收同比下滑的有49家,占比57.65%。

  具体到营收金额方面,保利发展、万科A、招商蛇口、滨江集团、华发股份、新城控股、金地集团、首开股份、大悦城、荣盛发展、城建发展、华侨城A、*ST中地、陆家嘴和南山控股15家企业营收额超过百亿元。其中,保利发展、万科A和招商蛇口分别以1737.2亿元、1613.9亿元和897.66亿元的营收居于A股上市房企前三位。

  其中,有7家房企归母净利润超过10亿元,分别是*ST中地、招商蛇口、南京高科、滨江集团、保利发展、上海临港和陆家嘴。

  上述房企中,*ST中地(中交地产)的表现较为亮眼。三季报数据显示,公司前三季度营收达142.93亿元,同比增长16.48%;实现净利润48.27亿元,扭亏为盈,同比大幅增长424.13%。

  作为一家“披星戴帽”的房企,其账面盈利的核心驱动力来自重大资产重组。今年6月,*ST 中地公告称,计划将旗下房地产开发业务相关的全部资产与负债,转让给控股股东中交房地产集团有限公司。这一重组事项在8月31日完成实质资产交接,房地产业务自此正式退出公司合并报表范围。

  据悉,资产重组为* ST中地带来64.89亿元的资产置出相关收益,这一数据直接拉动了当期利润表现,同时推动归属于上市公司股东的净资产转正至12.48亿元。

  让人唏嘘的是,三季度业绩亮眼的房企,恰恰是已经退出房地产开发业务的那家。

  值得注意的是,期内部分龙头房企归母净利润出现较大亏损,如万科、*ST金科、华夏幸福等。

  数据显示,今年前三季度,万科实现营业收入1613.9亿元,同比下滑16.61%;归属于上市公司股东的净亏损280.2亿元,同比下滑56.14%。

  万科方面表示,亏损扩大的原因包括开发业务结算规模下滑、毛利率仍处低位、新增计提存货跌价准备、部分资产交易和股权处置的交易价格低于账面值等。

  另一亏损规模超百亿的为*ST金科。前三季度,金科实现营业总收入56.99亿元,同比下滑73.57%;归母净利润亏损107.78亿元,同比下滑102.12%。

  还有华夏幸福,其亏损规模也近百亿。前三季度,公司营业收入为38.82亿元,同比下降72.09%,归属于上市公司股东的净利润亏损98.29亿元,同比下滑338.67%。

  有37家房企实现归母净利润实现同比正增长。其中,天保基建、深深房A、深物业A、渝开发、*ST中地、世荣兆业、城投控股、南山控股、中华企业、广宇集团、万业企业、南都物业、新黄浦、凤凰股份、中洲控股、珠江股份、栖霞建设17家房企前三季度的归母净利润增长超过100%。

  其中,天保基建前三季度归属于上市公司股东的净利润增幅最大,为7158.91%。天保基建表示,业绩增长主要得益于报告期内满足收入结转条件的项目增加,以及冲回的土地增值税增加和资产减值损失减少。

  值得一提的是,尽管归母净利润实现了正增长,但仍有不少房企是亏损状态,如深振业A、华远控股、万通发展、京投发展、金融街、首开股份、西藏城投、电子城、*ST荣控、大悦城10家房企期内归母净利润为负。

  整体来看,当前房地产行业仍处于筑底企稳调整周期,多数企业业绩表现未达市场预期,行业全面修复尚需时间。

  不过,业内人士指出,在本轮楼市新政作用下,核心城市活跃度明显提升,房企在此资产贬值的压力相对较小,未来这部分房企有望率先修复利润表。多家企业也表示,通过在核心城市拿利润较高的项目,逐步带动利润表的修复。

  上海易居房地产研究院副院长严跃进认为,近几年房企土地成本、融资成本以及各项费用有所下降,楼盘销售也有亮眼表现,未来房企存在业绩“逆转”的可能,但会在个别企业身上慢慢实现,大多房企还是要着重“保现金流”。

  平台声明:该文观点仅代表作者本人,搜狐号系信息发布平台,搜狐仅提供信息存储空间服务。